
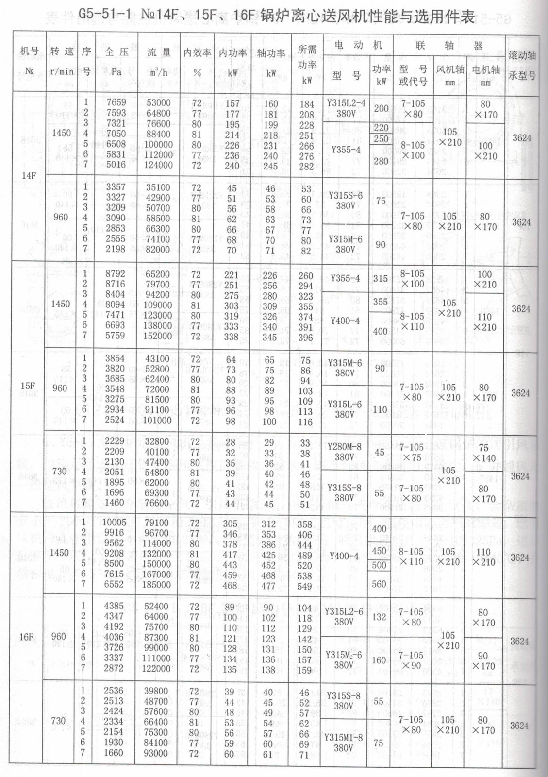
G、Y5-51型鍋爐送引風機主要是用于火力發電廠2t/h~670t/h蒸汽鍋爐的送引風系統,也滿足了流化床爐高壓頭性能參數之需求。該系列風機也可用于除塵、礦井通風及一般通風系統。
送風機輸送的介質為空氣,引風機輸送的介質為煙氣或含雜質顆粒之氣體。含雜質濃度小于200mg/m3時葉輪可用五年以上。如含雜質大也可使用,但使用壽命相對縮短。送引風機最高使用溫度不得超過250℃。性能參數條件:通風機進口壓力P=101325Pa,進口溫度t=20℃,介質密度ρ=1.2kg/m3;引風機進口壓力P=101325Pa,進口溫度t=140℃,介質密度ρ=0.85kg/m3.未注聯軸器型號均為F2508A。














產品分類